「而當你最後選擇了逃避 ,我學會不公平。 」
— 蕭賀碩。‹不公平›
人類自從文明發展以來,對於不平等的抵抗,從未停止。我們對團體中只享受不付出的人,無法忍受。對於別人都有領到的福利,自己沒有拿到,便嚥不下這口氣(絕對沒有影射什麼被取消的一次性政府支出)。當自己佔了別人便宜,即使自己的私心作祟,仍會感到心裡不踏實,想要部分消除這樣的不公平分配。究竟,我們對於公平的追求的本質是什麼呢?
七月初,參加了歐洲神經科學聯合會(Federation of European Neuroscience Societies, FENS)在柏林舉行的年度大會。這場歐洲最盛大的神經科學研討會,討論的主題包羅萬象,其研究尺度從基因、分子、細胞、線蟲、果蠅、老鼠、猴子,一直到人類的各種腦部造影、非侵入性的腦電圖(Electroencephalography, EEG)、腦磁圖(magnetoencephalography, MEG)等,研究主題也從神經系統的生長、發育、基因調控、一直到系統性的神經迴路、從正常的神經生理到異常的各式神經精神疾病。雖然不是第一次參加研討會,但是這次算是和講者討論最深入,更和神經生理學大師共進晚餐,從學術研究一直聊到日常生活,是一次非常難得的體驗。

柏林舍訥費爾德機場(Flughafen Berlin-Schönefeld)
擬人論(anthropomorphism):與人類類似的情緒、道德與社會行為
世界知名的靈長類行為大師Frans de Waal擔任七月九日的大會開場演講,這天剛好是我的生日,也算是很特別的生日禮物。Frans在 Ted Talk:Moral behavior in animals 中分享當本來接受小黃瓜的猴子,看到隔壁猴子做一樣的事情,卻可以拿到更好的葡萄時,他寧願連小黃瓜都不要,已表示抗議。這個厭惡「同工不同酬」(disadvantageous inequity aversion)的公平實驗,已經超過百萬點閱率(見下方影片)。這次,他更以多年來,從事靈長類高階認知行為研究的經驗,提供行為神經科學家許多重要的觀念和未來發展的方向。
擬人論(anthropomorphism)最早由達爾文(Charles Darwin, 1809-1882)在觀察動物的各種表情後提出,認為動物可以表現人類的各種情緒和思考能力,特別是高階的靈長類動物。這個理論是利用動物模型研究社會互動、情緒決策的大前提,然而學術界並不是每個人都同意。的確,在解讀動物行為時,要避免過度投射人類的成見。例如:許多動物會分泌淚水,然而他並非感受到難過,而是在進行眼周清潔等其他生理功能,如果將是否流淚當作負面情緒的指標,便會有嚴重的偏誤。(相關討論可見:Scientific American, «Are humans the only primates that cry?» )
靈長類的公平行為
當猴子需要互相合作才能獲得食物時,他們會由競爭轉為合作,共同獲取報酬。但在報酬分配時,會根據付出心力的多少來判斷報酬分配是否公平,如果出現自己「吃虧」的時候,便會願意寧可犧牲自己的報酬來懲罰對方。這個現象被認為是人類「公平正義」的起源,除了厭惡不公平的結果外,此資源分配的偏好也會考慮考慮個體的付出和動機,作為是否懲罰個體的標準。
以下的實驗中,這兩隻猴子,一隻需要提供工具(石頭),另外一隻猴子才能打開罐子,以食用裡面的堅果。因為兩隻猴子除了一個小洞以外無法直接接觸,打開堅果罐子的猴子大可以自己全盤拿走罐子內的堅果,然而他卻不這樣做。
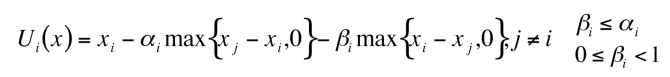
在行為經濟學實驗中,願意犧牲自己的利益處罰他人的行為,站在追求自身利益最大的立場,「懲罰不公平分配」彷彿會帶來一定程度的滿足感。為了模擬並且量化這樣的效果,1999年Fehr & Scmidt 提出了 反映此種對於不公平厭惡的效用函數,稱為Fehr-Schmidt Inequity Aversion Model (Fehr & Schmidt, 1999)

此效用函數經過修正之後,會對不公平產生厭惡的效果。它比一般的效用函數增加了兩個修正項:第一個係數α代表當別人的報酬比自己多時的厭惡係數(disadvantageous inequity aversion),β則是自己報酬比別人多的時候的厭惡係數(advantagenous inequity aversion)。在大規模的行為資料中,一般來說β≤α,代表我們對別人拿得比自己多的情況會比較排斥,對自己佔便宜的時候,對行為的影響則較小。
進階思考
Fehr-Schimidt model只有指出個體對於分配不公平的厭惡,但並沒有解釋這樣的厭惡從何而來。對於自己吃虧的狀況比較好理解,可以想像成自己將自己的獲益和別人比較之後產生的相對剝奪感。但對於自己拿得比別人多,也會想要分一些給別人,則有許多可能的不同解釋。
- 人的善良本性:人在佔了別人便宜後自然會產生的罪惡感
- 同情心:大腦反射性地同理對方如果拿得比自己少時,所感受到的不公平感
- 社會演化的結果:社會動物有時必須犧牲掉個體利益,成全群體的最大利益
- 法律規訓:對於某些不公平情形,對個體懲罰條款的阻嚇作用
- 重複賽局效應:因為個體在江湖上走跳,相「督」得到,所以這次如果佔對方便宜,很可能會破壞自己的名聲,對以後的資源分配不利。站在最大化「終生」效益的立場,暫時犧牲一點現在的利益換取以後更多的利益
這些不同的理論,雖然在行為上的結果相同,但在大腦的運作上是完全不同的認知歷程,也是目前在社會決策神經科學研究熱門的主題。不同的情境下,以上的因素也可能互相組合,共同支持不公平厭惡的行為。但人類究竟是如何將其他個體納入自己決策的考量,面對與自己關係不同的個體時,又對行為有何不同影響,仍是目前值得深入研究的課題。
下次當你看著電視新聞或是在自己生活情境中,開始對身邊的朋友、同事、老闆,大肆抱怨現實不公平時,你心裡正在想的又是什麼呢?這樣的自我體察,或許可以為不公平厭惡的行為提出不一樣的解釋喔。
參考資料
- Brosnan SF, de Waal FB. Evolution of responses to (un)fairness. Science. 2014 Oct 17;346(6207):1251776.
- Fehr E. & Schmidt K. M., 1999: A Theory Of Fairness, Competition, And Cooperation, The Quarterly Journal of Economics, 114 (3), Aug, pp 817-868